电路分析基础电容电感元件的串并联
电路分析基础之电容电感元件的串并联
1 电容的串并联(与电阻相反)
1.1 串联电容
1.1.1 等效电容
此处公式有误,应该为1/C = (1/C
1+ 1/C2)
1.1.2 串联电容的分压
1.2 并联电容
1.2.1 等效电容
1.2.2 并联电容的分流
2 电感的串并联(与电阻一致)
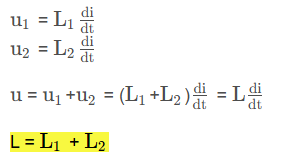
2.1 串联电感
2.1.1 等效电感
2.1.2 串联电感的分压
2.2 电感的并联
2.2.1 等效电感
1/L = 1/L
1+ 1/L2
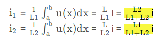
2.2.2 并联电感的分流
注意:
以上虽然是关于两个电容或两个电感的串联和并联等效,但其结论可以推广到 n 个电容或 n 个电感的串联和并联等效。
3 有互感的电感的串并联
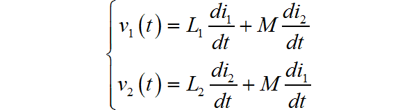
与电阻不同的是,电感之间有可能会出现相互的电磁耦合的关系,特别是对于空心电感,磁场会存在电感周围很大的空间内。如果两个电感之间的距离很近,方向又一致,就很容易电磁耦合,度量两个线圈之间电磁耦合程度通常使用互感(Mutual Inductance)来度量,它表征了一个线圈中的电流变化在另外一个线圈中所产生感应电动势的大小。
对于有互感的M两个线圈L1,L2,可以列些出它们之间的等效电路:
两个有互感的线圈等效电路
根据产生感应电动势的极性,可以定义出两个互感线圈之间的“同铭端”,根据极性与参考电压方向是否相同,可以分为同相互感和反相互感。
对于之间有互感的电感的串联、并联之后电感的计算就变得复杂了。在网络文章 [Mutually coupled inductors. Coupling coefficient. Power and energyof mutually coupled inductors. Analysis of circuits with mutuallycoupled inductor.](https://www.uni-ruse.bg/disciplines/TE/Lecture notes/Lectures notes Mutually coupled inductors.pdf#:~:text=Equivalent circuits of mutually coupled inductors As was,characterized by a coefficient of mutual inductance M.) 中,给出了互感线圈的的串、并联计算基本方法。
3.1 有互感电感的串联
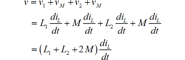
两个线圈L1,L2之间存在着互感M,当它们同相串联的时候,对应的电感量为:
LE = L1 + L2 + 2M
两个电感同相串联
可以可跟KVL定理,列些出串联支路电压方程,可以证明该公式:
如果是反相串联的时候,按照相同的方式,可以证明对应的等效电感量为:
LE = L1 + L2 − 2M
两个电感线圈异向串联
根据这个公式,可以来测量两个线圈之间的互感量M。也就是通过分别测量L1,L2,然后在分别测量他们同相和反相串联后的电感,便可以计算出它们之间的互感M。
3.2 有互感电感的并联
当两个有互感M的线圈L1,L2并联时,对应的等效电感分别为:
3.2.1 同相并联
LE = (L1 · L2 - M^2^) / (L1 + L2 - 2M)
带有互感的线圈并联,左:同相并联;右:反向并联
3.2.2 反相并联
LE = (L1 · L2 - M^2^) / (L1 + L2 + 2M)
公式的证明过程稍微复杂,可以参见前面 [**论文中的求解过程。**](https://www.uni-ruse.bg/disciplines/TE/Lecture notes/Lectures notes Mutually coupled inductors.pdf#:~:text=Equivalent circuits of mutually coupled inductors As was,characterized by a coefficient of mutual inductance M.)
从上面公式可以看到,当互感量M等于0时,它们就退化成最初的简单电感的串并联计算公式了。
3.2.3 互感线圈等效变换
存在互感电路往往会使得电路分析变得复杂。将两个互感的线圈使用T型电路进行等效变换可以简化电路分析。下面给出了通过互感耦合在一起的电路等效变换。
同相互感等效变换
等效转换后的电路消除了互感,之后的电路分析可以使用基尔霍夫电压、电流定理(KCL&KVL)进行分析。
4 电感特性解析
4.1 电感电流不能突变
电感电流为什么不能突变呢?来看这个公式,U等于L乘以di比dt。Di比dt是指电流的变化率,电流突变,意味着di比dt无限大,会导致产生无限大的电压。尽管在实际电路中绝对的电流突变不存在,或多或少都会有时间,因此产生的电压总不会真的无穷大,但是是真的能产生很大的电压,高于电源电压都是可能会出现的。这种意外的高压会损坏器件。所以我们在一些感性的开关电路中,需要对感性器件留一个放电回路,避免产生高压。例如开关电源,继电器电路。通常是通过RC电路进行缓冲,也有的用二极管,TVS等。
4.2 电感储能公式
电感的储能也是由这个公式推导出来的,下面是推导过程,需要一些微积分的知识,感兴趣的可以看一下过程,不感兴趣的记下这个结果,电感储能为1/2 * LI^2^,单位是焦耳。
电感在t时间内,电流从0达到i,电源传输到电感的能量为:
从电感的储能公式可以看出,电感储存的能量是依存电流而存在的,什么意思呢?如果电流突变,突然变到0,储能的能量也突变到0,根据能量守恒定律,能量不能凭空消失,储存的能量必然会想办法迅速释放,这个释放就是产生高压,变成电场能量了。所以从这个角度,我们也要避免电感电流突变。
4.3 电感电压相位超前电流90°
电感的最重要的公式,还能导出电感电流与电压的相位关系,也就是我们常说的,电感电压超前电流90°。
导出过程是这样的,首先,我们知道,根据傅里叶变换原理,我们的电信号都是可以用傅里叶级数展开的,由无数的正弦波构成,电感的电流也不例外。所以,我们假定电感电流为最简单的单一正弦波,i=Isin(wt),代入电感的公式,那么我们求得加在电感两端的电压为LIsin(wt+90°),sin(wt+90°)比sin(wt)超前90°,所以我们说电感的电压比电流相位超前90°。
4.4 电感的复阻抗
我们知道了电感的电压,也知道了电感的电流。用电压除以电流,就能得到电感的复阻抗。
电压比电流相位超前90°,引入虚数单位j,所有得到电感的复阻抗jwL,j的物理意义就是电压比电流相位超前90°。


























