电压和电流的有效值瞬时值平均值最大值关系
电压和电流的有效值、瞬时值、平均值、最大值关系
1 前言
直流电压:根据定义直流电压的的大小及方向都不随时间变化,因此就没有瞬时值的概念,在作用时间内电压值处处相等。或者也可以说存在瞬时值,只是处处都相等,就没有必要在去讨论这个瞬时值的概念了。同时也没有最大值以及平均值,有效值都没有意义。
交流电的有效值,瞬时值,平均值,最大值:交变电流的大小和方向都随时间作周期性变化,所以要准确描述交变电流的产生的效果,需要用到“最大值、有效值、瞬时值、平均值”四个物理量。交流电的“最大值、有效值、瞬时值、平均值”常称为交流电的“四值”。这四个类似但又有区别的物理量,容易造成混乱,理解好“四值”对于学习交流电有极大的帮助 。
2 交流四值
2.1 瞬时值
交流电流、电压、电动势在某一时刻所对应的值称为它们的瞬时值。瞬时值随时间的变化而变化。不同时刻,瞬时值的大小和方向均不同。交流电的瞬时值取决于它的周期、幅值和初相位。以正弦交流电为例(从中性面开始计时) 。其瞬时值为:
2.2 最大值
交变电流的最大值是指交变电流在一个周期内所能达到的最大值,它可以用来表示交变电流的强弱或电压的高低。以正弦交流电为例。则有:
2.3 有效值
交变电流的有效值是根据电流的热效应来定义的,让一个交流电流和一个直流电流分别通过阻值相同的电阻,如果在相同时间内产生的热量相等,那么就把这一直流电的数值叫做这一交流电的有效值。
有效值存在的意义是啥呢?我们都知道用电压表读数,但是读的这个数正好是电压的有效值。换句话说根据有效值的定义,我们可以这样理解:即交流电压的有效值可以“映射”到直流电压上面去表示,因为交流电压时刻动态变化,为了便于对交变电流进行测量,计算等,就必须从交流电产生的效果上来规定交变电压,这个产生的效果就是映射为直流电压,交变电流大小的量,即有效值。
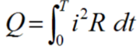
交流电的有效值是根据它的热效应确定的。交流电流 i通过电阻 R 在一个周期内所产生的热量和直流电流 I 通过同一电阻 R 在相同时间内所产生的热量相等 , 则这个直流电流I 的数值叫做交流电流 i 的有效值 , 用大写字母表示 , 如 I、 U等。一个周期内直流电通过电阻 R 所产生的热量为:
交流电通过同样的电阻 R,在一个周期内所产生热量:
根据定义,这两个电流所产生的热量应相等,即
将上式带入 ω 得:
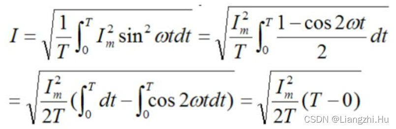
在正弦交流电流电中根据热等效原理,定义电流和电压的有效值为其瞬时值在一个周期内的方均根值。
(1)有效值也称为方均根值。
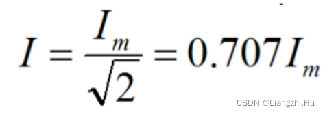
(2)正弦量的有效值等于其最大值被2的平方根去除。
(3)非正弦量的有效值,等于它的直流分量、基波和各高次谐波有效值平方和的平方根值(还有一种定义方式,将直流分量、基波定义分别为零次谐波和一次谐波。在这个前提下,非正弦量的有效值就等于它的各次谐波有效值平方和的平方根值)。
2.4 平均值
交变电流的平均值是指在某一段时间内产生的交变电流对时间的平均值。对于某一段时间或某一过程,其平均感应电动势:
3 正弦交流电“四值”之间的关系
3.1 正弦交流电的有效值与最大值的关系:
注意:I U是电流、电压的有效值,Im Um是电流、电压的最大值
3.2 正弦交流电的平均值与最大值和有效值之间的关系:
3.3 信号的峰值
峰值是指一个周期内信号最高值或最低值到平均值之间差的值。一般来说,峰值对上下对称的信号才有定义。可以看到,峰值等于峰峰值的一半。
有效值/均方根值Vrms(RootMeanSquare),是指在一个周期内对信号平方后积分,再开方平均。
有效值的意义是:在一个周期内做功的大小等于与该值相等的直流电压所做功的大小。
对于正弦信号,峰值为有效值的√2倍,也就是最大值。
3.4 信号的峰谷值
峰谷值一般指峰-谷值,即为在规定的时间范围内,峰值与谷值之差。
3.5 信号的谷值
在规定的时间范围内,时变量的最小值。















