谐波及其抑制或仿真
谐波及其抑制或仿真
1 基波、谐波、谐波次数
在复杂的周期性振荡中,包含基波和谐波。谐波实际上是一种干扰。
和该振荡最长周期相等的正弦波分量称为基波,相应于这个周期的频率称为基本频率。
频率等于基本频率的整倍数的正弦波分量称为谐波。谐波频率与基波频率的比值为谐波次数。
法国数学家傅里叶分析原理证明,任何重复的波形都可以分解为含有基波频率和一系列为基波倍数的谐波的正弦波分量。谐波是正弦波,每个谐波都具有不同的频率、幅值与相角。谐波可以分为偶次与奇次性,第3、5、7次谐波为奇次谐波,而2、4、6次谐波为偶次谐波,如基波为50Hz时,2次谐波为100Hz,3次谐波为150Hz。
基波及二三四次谐波:
基波与二三四次谐波叠加后的波形:
非线性设备含义:
简言之,设备中产生的电流波形是断续的或突变的,它不是一个可采用线性法则进行运算的连续函数,一般要采用傅里叶级数来描述它。
下图为三相整流回路,整流后的电流波形为阶梯方波,右图是按傅里叶级数展开后的频谱,可以看出五次和七次谐波比例很高。
下图为单相整流回路,整流后的电流波形为断续波形,右图是按傅里叶级数展开后的频谱,其中三次谐波比例很高。
三次谐波电流的特殊性:
三次谐波电流主要是由单相非线性负载(如荧光灯,节能灯及镇流器等)产生的。因其频率的特殊性,三次谐波在电网中性线上产生的后果尤为严重。在三相电网中,基波各相的相位差为 120°;而三次谐波相位差为360°。
由下图可见,各相线内的三次谐波电流在中性线上汇集时,其瞬时值是直接同相相加的,故中性线上的三次谐波电流一般为约为3倍的相线上的三次谐波电流,甚至会大于相线上的基波电流。
2 谐波危害
谐波会造成电力系统中的正弦电流以及电力系统电压不对称,对系统造成非常严重的危害。一般讲,奇次谐波引起的危害比偶次谐波更多更大。在平衡的三相系统中,由于对称关系,偶次谐波已经被消除了,只有奇次谐波存在。对于三相整流负载,出现的谐波电流是6n±1次谐波,例如5、7、11、13、17、19等,变频器主要产生5、7次谐波。
谐波使电能的生产、传输和利用的效率降低,使电气设备过热、产生振动和噪声,并使绝缘老化,使用寿命缩短,甚至发生故障或烧毁。谐波可引起电力系统局部并联谐振或串联谐振,使谐波含量放大,造成电容器等设备烧毁。谐波还会引起继电保护和自动装置误动作,使电能计量出现混乱。对于电力系统外部,谐波对通信设备和电子设备会产生严重干扰。
3 谐波产生的原因
由于正弦电压加压于非线性负载,基波电流发生畸变产生谐波。主要非线性负载有UPS、开关电源、整流器、变频器、逆变器等。
① 具有铁磁饱和特性的铁芯设备
主要为变压器、电抗器等,这种设备产生的谐波较少。理论上,变压器正常运行时,本身不产生谐波,但是变压器磁通达到饱和时,主要会产生3次谐波。
② 以电弧为工作介质的设备
如气体放电灯、交流弧焊机、炼钢电弧炉等。这类负荷谐波含量大,且有低次、偶次谐波。
③ 以电子元件为基础的开关电源设备
如整流器、逆变器、变频器、相控调速和调压装置、大容量的晶闸管可控开关设备等。
④ 不间断电源系统(UPS)
大功率UPS是通信电源系统中主要的谐波源,采用可控硅整流是UPS产生谐波的主要原因。UPS生产厂家提供的谐波指标通常是满载输出时的数据,而实际情况中UPS不可能运行在满载状态下。
电力系统向非线性设备以及负荷设备供电时会产生高次谐波,电力系统向这些设备传递和供给基波能量的同时,也将一部分的基波能量转换为谐波能量,进而产生高次谐波,这一系列高次谐波导致电力系统中的电压和电流波严重畸变,对电力系统的稳定性和安全性造成巨大的影响。
4 谐波信号影响
除谐波杂散信号产物外,还有非谐波杂散信号成分,通常称为杂散信号,因为在某些情况下所有杂散信号成分通常都被称为杂散信号,所以可能会造成混淆。从技术上讲,谐波产物是基频的无限整数倍,但是随着谐波阶次的增加,随后谐波的功率电平会下降。这导致在大多数系统中,高次谐波产物大约在三次谐波之后到达本底噪声,因此在单音互调失真(IMD)分析中,高次谐波往往会被忽略。
根据频率划分,谐波产品可能是受欢迎的,也可能是令人讨厌的。在某些情况下,谐波很容易被滤波,而在其他情况下,谐波可能落在重要通信信号的频带内。在传感应用中,谐波可能非常令人讨厌,因为它们可能与测量值相冲突。当谐波出现在设备的接收频带中并自行产生时,通常称其为自干扰或自退出,因为它可能会导致接收器的减敏现象。
谐波通常以分贝(dBc)表示其相对于基频的信号强度,或者以所有谐波分量信号强度的均方根来表示整个谐波能量。谐波产品强度是基频信号强度的一个可预测的分数。因此,计算和解释射频系统中的谐波失真相对比较容易。
在处理具有宽频带和大频谱范围信道的复杂通信系统时,谐波的设计会遇到挑战。近年来,LTE和WiFi就是这种情况,随着蜂窝通信和无线通信的额外频谱被分配,这种情况正日益受到人们的关注。在某些情况下,来自这些系统的谐波可能会被传输,并对非常灵敏的射频/微波/毫米波传感和成像设备造成干扰。这就是为什么在最新的无线通信系统中可能有更严格关于谐波失真的标准规定,以防止对其自身灵敏的接收器和附近的其他系统造成干扰。
5 抑制谐波的措施
基本思路有两条:
- 装设谐波补偿装置来补偿谐波,这对各种谐波源都是适用的。
- 对电力电子装置本身进行改造,使其不产生谐波,且功率因数可控制为1,这当然只适用于作为主要谐波源的电力电子装置。
装设谐波补偿装置的传统方法就是采用LC调谐滤波器。这种方法既可补偿谐波,又可补偿无功功率,而且结构简单,一直被广泛使用。这种方法的主要缺点是补偿特性受电网阻抗和运行状态影响,易和系统发生并联谐振,导致谐波放大,使LC滤波器过载甚至烧毁。此外,它只能补偿固定频率的谐波,补偿效果也不理想。
5.1 加装无源滤波器(PassivePowerFilter,简称PPF)
无源滤波器安装在电力电子设备的交流侧,由L、C、R元件构成无源网络,吸收负载产生的谐波电流。无源滤波器分调谐滤波器与高通滤波器,前者分单调谐滤波器和双调谐滤波器,用于吸收单一次数或相邻的两次谐波,后者用于吸收某一次及以上各次谐波。无源滤波器滤除谐波以外还在基波电压的作用下向谐波负载提供容性基波无功功率,同时兼顾谐波源无功补偿的需要。由于具有成本低、效率高、结构简单、运行可靠及维护方便等优点,无源滤波器是目前采用的抑制谐波即无功补偿的主要手段。
滤波装置一般由一组或数组单调谐滤波器组成,有时再加一组高通滤波器。单调谐滤波器利用R、L、C电路串联谐振构成,如下图所示。滤波器对n次谐波阻抗为:
R很小,所以n次谐波电流主要由R分流,很少流入电网中,而对于其他次数的谐波,谐波阻抗Z》》R,滤波器分流很少。双调谐滤波器图b的两个谐振频率实际上相当于两个并联的单调谐滤波器,它同时吸收两种频率的谐波。与两个单调谐滤波器相比,减少了回路,基波损耗较小,只有一个电抗器承受全部冲击电压。这种滤波器结构比较复杂,调谐较困难,但在高压大容量滤波装置中采用有一定的技术经济上的优势。
高通滤波器有一阶减幅型图c、二阶减幅型图d、三阶减幅型图e和C型图f。当频率低于其截止频率f0(f0=1/2RC)时,由于容抗的作用,使得低次谐波电流难以通过,而当频率高于f0时,由于容抗减小,高次谐波电流便可顺利通过电容器和电阻,总的阻抗也变化不大,形成一个通频带。一阶减幅型由于基波功率损耗太大,一般不采用。二阶减幅型的基波损耗较小,且阻抗频率特性较好,结构也简单,故工程上用的较多。三阶减幅型的基波损耗更小,但特性不如二阶减幅型,用的也不多。C型滤波器滤波特性介于二阶和三阶之间,主要优点是C与L对基波串联调谐,有功功率损耗较低。
低成本的无源滤波器是至今为止在滤除谐波时使用最为广泛的补偿装置,用其抑制谐波在经济上和技术上都可以接受。其主要缺点是补偿特性受电网阻抗和运行状态影响,易和系统发生并联谐振,致使谐波放大使无源滤波器过载甚至烧毁。此外,它只能消除特定次谐波,导致整个装置占地面积大。因而随着电力电子技术的不断发展,人们将滤波研究方向逐步转向有源滤波器。
5.2 装设静止无功补偿装置
快速变化的谐波源,如:电弧炉、电力机车和卷扬机等,除了产生谐波外,往往还会引起供电电压的波动和闪变,有的还会造成系统电压三相不平衡,严重影响公用电网的电能质量。在网侧投入无功补偿装置是用来补偿由谐波造成的无功功率,从而提高功率因数。另外,无功补偿装置中通过电感和电容的合理设置,可在某次频率点产生谐振,即可对该频率的谐波实现滤波。可有效减少波动的谐波量,同时,可以抑制电压波动、电压闪变、三相不平衡,还可补偿功率因数。
静止补偿装置的基本结构是由快速变化的电抗或电容元件组合而成。目前应用较多的四种是自饱和电抗器SR、晶闸管控制电抗器、晶闸管控制高漏抗变压器、晶闸管投切电容器。自饱和电抗器SR由负荷电流控制饱和电抗器的磁饱和程度,当负荷发生变化时其电抗值随之发生变化,从而调节无功输出的大小。晶闸管控制电抗器TCR通过改变控制角而改变导通时间,相当于调节电抗器电抗达到改变无功输出的目的。晶闸管控制高漏抗变压器TCT工作原理与TCR相同,晶闸管断开时呈高电抗特性,接通时根据控制角调节无功输出的大小,因为使用了变压器,故可以直接接入高压侧。晶闸管投切电容器TSC的晶闸管在超前电压90度时接通并在断开前一直保持该控制角,如果电压是正弦波,则流过TSC电流也是正弦波,故没有谐波产生,但这种TSC不能在导通期间改变无功输出的大小。
由于TCR和TCT通过晶闸管的开通角度以调节电抗器电抗,在控制角大于90°时不能得到与交流电源对应的完整波形。SR的谐波来自磁饱和和非线性。所以这三种形式不可避免有谐波产生。因此在使用时必须考虑到对它们自身所产生谐波的抑制,这就增加了结构和设计上的复杂。
5.3 电力有源滤波器补偿法
无源滤波器及静止无功补偿装置虽然能减少谐波分量,抑制某些谐波,但却不能对变的高次谐波动态补偿。现阶段谐波补偿和抑制的一个重要趋势是采用有源滤波器APF(AC activePowerFilter)了。APF能对幅值和频率都变化的谐波及变化的无功进行补偿。利用可控的功率半导体器件向电网注入与原有谐波电流幅值相等、相位相反的电流,使电源的总谐波电流为0,达到实时补偿谐波电流的目的。
有源滤波器的思路是给谐波电流或谐波电压提供一个在谐振频率处等效导纳无穷大的并联网络或等效阻抗无穷大的串联网络,因此可以分为并联有源滤波器和串联滤波器。其基本结构是一个DC—AC逆变桥与或一个谐波注入电路。按照PWM逆变电路直流侧电源的性质又可以分为电压型有源滤波器及电流型有源滤波器。
5.3.1 并联有源电力滤波器
1896年,AkagiH提出用并联有源滤波器消除谐波的方法,如下图所示。这种装置相当于一个谐波电流发生器,它跟踪负载电流中的谐波分量,产生与之相反的谐波电流,从而抵消线路中的谐波电流。通过不同的控制作用,可以对谐波、无功、不平衡分量进行补偿,功能多,连接也方便。但是,由于电源电压直接加在逆变桥上,对开关器件电压等级要求高。负载谐波电流含量高时,这种有源滤波器装置的容量也必须很大,因为兼具大的补偿容量和宽的补偿频带比较困难,所以它只适合电感型负荷的谐波补偿。开关引起的谐波电流将影响电路中的PF或电容器的滤波特性,若利用LC网络吸收这部分高次谐波,由于LC网络受电网参数的影响,PWM逆变器输出的谐波频带又很宽,所以LC网络难以设计。
为了降低加到逆变桥的交流电压,可以选择用LC串联或并联网络作为注入电路,如下图所示。在图中,LC在基波频率处串联谐振,逆变桥不承受基波电压,而在谐振频率之处有Zr》》Zc,滤波器产生的谐波电流可以完全流入主电路。并联LC方式原理与之类似。
为了使有源滤波器适用于大容量负载的补偿,可以将高次谐波和低次谐波分开各相单独补偿,也可将有源滤波器和无源滤波器相结合进行补偿。并联有源电力滤波器能对谐波和无功功率进行补偿,其补偿特性不受电网阻抗的影响,主要适用于感性电流源负载的谐波补偿,目前技术上比较成熟,但其有源装置容量相对较大,投资多,运行效率低。
5.3.2 串联有源电力滤波器
下图是单独使用串联有源电力滤波器的方案。通过3个单相变压器串联在电源和负载之间,串联有源电力滤波器在此系统中相当于一个电压控制电压源,跟踪电源电压中的谐波分量,产生与之相反的谐波电压,使负载端交流侧电压为正弦波。主要用于消除带电容二极管整流电路等电压型谐波源负载对系统的影响,以及系统侧电压谐波电压波动对敏感负载的影响。串联有源电力滤波器装置容量小,运行效率高,对谐波电压源类型的负荷有较好的补偿特性。但其绝缘强度高,难以适应线路故障条件而且不能进行无功功率动态补偿,工程实用性受到限制,其投切、故障后的退出及各种保护较并联型APF复杂。目前单独使用少,国内外研究主要集中在其与LC无源滤波器所构成的串联混合型有源电力滤波器。
与无源滤波器相比,APF具有高度可控性和快速响应性,能补偿各次谐波,可抑制闪变、补偿无功,有一机多能的特点。在性价比上较为合理。滤波特性不受系统阻抗的影响,可消除与系统阻抗发生谐振的危险,具有自适应功能,可自动跟踪补偿变化着的谐波。目前在国外高低压有源滤波技术已应用到实践,而我国还仅应用到低压有源滤波技术。随着容量的不断提高,有源滤波技术作为改善电能质量的关键技术,其应用范围也将从补偿用户自身的谐波向改善整个电力系统的电能质量的方向发展。
5.4 防止并联电容器组对谐波的放大
在电网中并联电容器组起改善功率因数和调节电压的作用。当谐波存在时,在一定的参数下电容器组会对谐波起放大作用,危及电容器本身和附近电气设备的安全。可采取串联电抗器,或将电容器组的某些支路改为滤波器,还可以采取限定电容器组的投入容量,避免电容器对谐波的放大。
6 如何消除5次和7次谐波
谐波滤波器的原理就是为谐波电流提供一个低阻抗通道,使谐波电流通过滤波器形成回路,而不流入电网,可以通俗的理解为讲谐波短路。
5次谐波滤波器会吸收部分7次谐波电流
7次谐波滤波器会对5次谐波电流有一定的放 大,即会恶化5次谐波影响。
如何减小变频器的5次和7次谐波:
对于三相输出变频器,只要开关频率为基波频率的整数倍,就不包含5次谐波。
就三相对称电路而言,一般没有偶次谐波,3的整数倍的谐波也被互相抵消,因此,通常只包含6k±1次谐波。
k=1时,就是5、7次谐波。从这个角度讲,需要考虑5、7次谐波。
实际上,如果变频器设计的好。假设是SPWM变频器,变频器的开关频率fc是信号基波频率fs的整数倍,fc/fs为载波频率比,假设fc/fs=N,那么,变频器输出不包含N-2次以下的谐波。
如果N=20,那么,不包含18次以下的谐波,也就不包含5、7次谐波。
滤波磁环只对一般高频杂波信号的滤除效果较好,对于变频器产生的3.5.7次谐波,一般变频器专用的输入输出电抗器就有很好的抑制作用。
消除电源内的5次和7次谐波措施:
1、可以用电感L与电容C串联谐振的方法滤除;
2、电路结构类似电容器串联限流保护电抗器的补偿电路;
3、可以用下列计算式估算电感L与电容C的大小:
2πfL = 1/2πfC
4πfπfLC = 1
LC = 1/314×314×25 = 4/314×314×100 = 1/157×157×100
LC = 0.44 (C:μF,H:H)
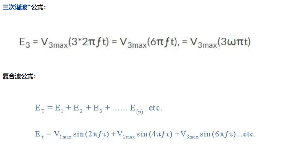
7 matlab绘制基波、三次、五次、七次谐波合成波形
在以下代码中,我们首先设置了时间范围t,然后定义了基波和各谐波的频率和振幅。接下来,我们计算各个谐波分量,并将它们加起来得到合成波形。最后使用plot函数绘制处合成波形。
1 | % 设置时间范围 |
1 | %设置参数 |













